Optimizing Dosing Strategies for Elderly Patients
Many multi-colored pills in a Senior’s hands. Painful old age. Caring for the health of the elderly | Image Credit: ©perfectlab – stock.adobe.com

Abstract
The kidneys serve as the primary excretory organs responsible for eliminating endogenous waste products and xenobiotics, including pharmaceutical agents and their metabolites, through urine formation. Understanding the mechanistic basis of renal drug excretion is crucial for optimizing therapeutic efficacy and minimizing toxicity. This paper provides an in-depth overview of the anatomical structure and functional dynamics of renal filtration, secretion, and reabsorption processes that govern drug clearance. Blood is delivered to the kidneys via the renal artery, and filtration begins at the glomerulus where small molecules pass into the nephron while larger components remain in circulation. The filtrate undergoes further refinement through selective tubular reabsorption and active secretion, culminating in urine formation. The role of the nephron in modulating drug excretion is modeled mathematically using key pharmacokinetic parameters, including the glomerular filtration rate, free drug fraction, intrinsic tubular clearance, and the area under the plasma drug concentration-time curve. This work also presents fundamental equations describing renal clearance pathways and explores factors influencing drug reabsorption and secretion. Together, these insights offer a quantitative framework for predicting renal drug clearance and guiding rational drug design and dosage regimen development.
Peer-Reviewed
Submitted: June 29, 2025
Accepted: August 13, 2025
Blood is composed of plasma, red blood cells, white blood cells, and platelets. The normal 70-kg adult has 5 L of blood (0.07 L/kg), roughly 55% of which is a liquid called plasma, and 45% is cells and platelets. The kidney is the primary organ of discharge of the body’s byproducts, and of medications and medication metabolites. Urine is the main liquid for the discharge of waste materials (coming out from different cell processes), as well as medications and metabolites, from the body.
The kidney is the primary organ for excretion of the body’s byproducts, medications, and medication metabolites (see Figure 1). Urine serves as the final pathway for eliminating metabolic byproducts, drugs, and their metabolites from the body.
Figure 1: Mechanistic model of renal clearance processes for daptomycin. Figures created with AI and courtesy of the author

Blood flows into the kidney through the renal artery. This large blood vessel branches into smaller vessels until the blood reaches the nephrons. In the nephron, blood is filtered by the tiny vessels of the glomeruli and then flows out of the kidney through the renal vein. In a single day, the kidneys filter about 140 L of blood. Most of the water and other substances that filter through the glomeruli are returned to the blood by the tubules. Only 1–2 L become urine (1).
Each nephron is divided into two sections: the renal corpuscle and renal tubule. As blood flows into each nephron, it enters a cluster of tiny blood vessels—the glomerulus. The thin walls of the glomerulus allow smaller molecules, wastes, and fluid—mostly water—to pass into the tubule. Larger molecules, such as proteins and blood cells, stay in the blood vessel.
Reabsorption and secretion adjust the composition and volume of glomerular filtrate as it travels down the nephron to the collecting tubule. When these processes are completed, the concentrated filtrate, now called urine, is moved to the bladder for storage until it is eliminated from the body.
As the global population ages, integrating physiological modeling into early stage drug development and dose planning has become essential for tailoring therapies to vulnerable subpopulations.
Methods
Model framework. Renal clearance (2) was modeled as the sum of three components as shown in Equation 1.

(Eq. 1)
Where:
CLfiltration = clearance via glomerular filtration
CLsecretion = clearance via tubular secretion
CLreabsorption = reabsorption (negative contribution to clearance).
A schematic representation of method for glomerular filtration, tubular secretion, and reabsorption is shown in Figure 2.
Figure 2: Schematic representation of renal clearance model. Figures created with AI and courtesy of the author

Equations. Equation 1 expresses total renal clearance as the net result of filtration, active secretion, and reabsorption. Mechanistic renal clearance is shown in Equation 2.

(Eq. 2)
Where:
CLR = renal clearance
Fu = fraction unbound
Q = renal blood flow
CLi = intrinsic renal clearance
Fr = fraction of compound reabsorbed from tubule.
Free fraction (fu). Equation 3 defines the fraction of unbound (free) drug in plasma. Only unbound drug is pharmacologically active and subject to filtration, secretion, or metabolism.

(Eq. 3)
Glomerular filtration clearance (CL_GF). Equation 4 shows that the clearance due to glomerular filtration is directly proportional to the free fraction and the glomerular filtration rate.

(Eq. 4)
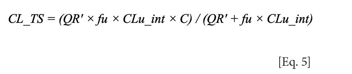
Tubular secretion clearance (CL_TS). Equation 5 models active secretion into the renal tubule, where QR′ is renal plasma flow, CLu_int is intrinsic unbound renal clearance, and C is the drug’s plasma concentration.

(Eq. 5)
Tubular reabsorption (passive). Equation 6 shows the influence of urinary pH and drug pKa on passive reabsorption. Non-ionized (lipophilic) species are more readily reabsorbed.

(Eq. 6)
Overall renal clearance (CLr). Equation 7 allows the calculation of the net renal clearance based on the excretion rate or total excreted amount (Ae) relative to plasma exposure (AUC), with the method shown in Figure 2.

(Eq. 7)
Drug parameters: daptomycin. Daptomycin is a cyclic lipopeptide antibiotic indicated for the treatment of complicated skin and skin-structure infections, Staphylococcus aureus (S. aureus) bacteremia, and right-sided infective endocarditis caused by susceptible Gram-positive organisms, including methicillin-resistant S. aureus (MRSA) (3). It is administered intravenously and is particularly valuable for patients who cannot tolerate or have failed other antibiotic therapies.
However, the following physicochemical properties (4) limit daptomycin’s oral absorption and influence its pharmacokinetics:
- high polarity
- low lipid solubility
- high molecular weight
- high protein binding (low fu)
- primary elimination via renal excretion.
Model calibration and validation. Model parameters, including volume of distribution (Vd), glomerular filtration rate (GFR), and tubular secretion capacity, were obtained from published pharmacokinetic studies on daptomycin (5). These values were iteratively adjusted within physiological bounds to achieve close agreement with observed plasma concentration-time profiles.
Simulations were conducted for two populations:
- young adults (18–30 years): assumed normal GFR (~125 mL/min/1.73 m²) and intact tubular function
- geriatric adults (>70 years): modeled with a 30% decline in GFR and reduced tubular secretion, reflecting known physiological changes with aging.
- The model outputs, including renal clearance (CLr) and plasma concentration profiles, were compared against reported clinical pharmacokinetic data to validate predictive accuracy.
Clearance was calculated for two populations:
- young adults (18–30 years): normal GFR and secretion
- geriatrics (>70 years): 30% reduction in tubular secretion, age-related decline in GFR.
Volume of distribution (Vd) and other parameters were taken from literature values and adjusted to fit experimental data.
The modeled clearance for young adults was CLr = 16.2 mL/min/kg. Predicted clearance aligned well with reported pharmacokinetic data for daptomycin in healthy adult volunteers.
Results
Young adults. In this analysis, the young adult group refers to individuals aged 18–30 years. Using the slope of the plasma concentration–time curve together with the estimated volume of distribution (Vd), the renal clearance (CLr) was calculated according to Equation 1. This calculation resulted in a CLr value of 16.2 mL/min/kg for the young adult population.
Figures 3 and 4 depict the mean plasma concentration–time profiles of Daptomycin in young and elderly adults, respectively, modeled using the renal clearance equation (Eq. 1). In this analysis, the geriatric group refers to individuals over 70 years of age. Using the same calculation method described in Equation 1, the CLr for this group was determined to be 9.2 mL/min/kg as shown in Tables I and II.
Figure 3: Daptomycin plasma concentration in young adults (mean profile). Figures created with AI and courtesy of the author

Table I. Modeled and documented renal clearance (CLr ) and percent error for young and elderly populations.

Geriatric population. Initial model over-predicted clearance: CLr = 12.8 mL/min/kg (calculated using Equation 1). After incorporating a 30% reduction in tubular secretion, CLr = 9.2 mL/min/kg. This adjustment brought the model into closer agreement with known clearance values for elderly patients.
Figure 4: Daptomycin plasma concentration in geriatric adults (mean profile). Figures created with AI and courtesy of the author

Table II. Why the Error? (As per Figures 3 and 4). Summary of model error sources for young and elderly populations.

Model performance and clinical implications. The model effectively reproduced published plasma concentration–time data for both young and elderly populations, with a percent error (6) of
These findings underscore the importance of modeling tubular secretion decline in elderly patients, which is often overlooked in simpler renal clearance models.
Clinical implication. For drugs such as daptomycin that are primarily eliminated renally, failure to adjust dosing in geriatric populations may lead to drug accumulation, prolonged exposure, and increased toxicity risk. Model-guided predictions can aid in personalized dosing and safer therapeutic outcomes in age-diverse patient populations.
The model successfully captured the qualitative and quantitative effects of aging on daptomycin clearance. Errors in prediction primarily arose from uncertainties in the estimation of fu, tubular secretion rates, and reabsorption dynamics.
Failure to adjust dosing in renally impaired geriatric patients can result not only in elevated plasma concentrations and toxicity, but also in subtherapeutic exposure if assumptions about drug half-life are inaccurate. For antibiotics such as daptomycin, improper dosing can increase the risk of treatment failure, resistance development, and adverse effects such as nephrotoxicity and rhabdomyolysis.
Discussion
This study demonstrates that incorporating detailed renal physiology into pharmacokinetic models can accurately predict clearance variability across age groups. The results underscore the importance of tubular secretion and its decline with aging—a factor sometimes overlooked in simpler models.
Clinical implications include the need for dose adjustments in elderly patients to prevent accumulation and toxicity, particularly for drugs such as daptomycin that rely heavily on renal excretion.
Limitations of the model include simplifications of nonlinear reabsorption and potential age-related changes in plasma protein binding. Future work will extend the model to account for these factors and validate predictions against clinical data.
The close agreement between predicted and literature-reported (5) Cmax and AUC (Figures 5 and 6) provides confidence in the model’s applicability for dose adjustment in elderly populations.
Figure 5: Comparison of predicted vs. literature-reported maximum plasma concentrations (Cmax) for daptomycin in young adults and elderly subjects. Predicted values are based on renal clearance modeling integrating age-related glomerular filtration rate decline. Figures created with AI and courtesy of the author

Limitations of the model include simplifications of nonlinear reabsorption and potential age-related changes in plasma protein binding. Validation against clinical data will be essential to strengthen the model’s applicability. While the model accurately captures average trends in renal clearance, it assumes linear pharmacokinetics and constant plasma protein binding, which may not reflect pathophysiological changes in elderly patients with comorbidities. Future extensions could incorporate nonlinear reabsorption, saturable transport kinetics, and patient-specific variables.
Figure 6: Comparison of predicted vs. literature-reported area under the plasma concentration–time curve (AUC) for daptomycin. The increased AUC in elderly patients reflects reduced renal clearance and longer systemic exposure. Figures created with AI and courtesy of the author

Conclusion
Mechanistic modeling of renal clearance provides a powerful tool for understanding and predicting pharmacokinetic variability. The approach presented here accurately captured age-related declines in daptomycin clearance and can be generalized to other renally cleared drugs. This work supports the broader goal of individualized dosing and precision pharmacotherapy:
- Accurate quantification of tubular secretion and reabsorption remains challenging due to limited clinical data.
- Properties such as lipophilicity, polarity, plasma binding, and molecular size play a big role in how easily a drug is excreted renally.
- Reduction in kidney function, whether from disease, age, or another factor, can lead to build up of drug, which means it takes a longer time for it to be eliminated.
- Polarity as well as fu can help predict total clearance, as in, a drug that is highly plasma bound will likely need to be metabolized, and a polar molecule is more readily secreted.
This model offers a predictive tool for quantifying age-related variability in renal drug clearance, with potential clinical applications in guiding dose adjustment for elderly patients receiving renally excreted therapies such as daptomycin. By integrating physiological parameters and real-world pharmacokinetic data, this approach supports the broader goal of individualized dosing and improved therapeutic outcomes.
Availability of data and materials
This manuscript does not report new datasets. All data used in the modeling and simulations were obtained from published sources as referenced in the manuscript. No additional data are available.
References
- Tucker, G. Measurement of the Renal Clearance of Drugs. Br J Clin Pharmacol. 1981 12:761–770.
- Dvorchik, B.H.; Brazier, D.; DeBruin, M.F.; et al. The Pharmacokinetics of Daptomycin in Young and Elderly Adults. Clin Pharmacokinet. 2003 42(6):673–684. DOI:10.2165/00003088-200342060-00006
- National Kidney Foundation. Estimated Glomerular Filtration Rate (eGFR). 2015. kidney.org/atoz/content/gfr. (accessed Aug 14, 2025).
- Ye, M.; Nagar, S.; Korzekwa, K. A Physiologically Based Pharmacokinetic Model to Predict the Pharmacokinetics of Highly Protein-Bound Drugs and the Impact of Errors in Plasma Protein Binding. Biopharm Drug Dispos. 2016 37:123–141.
- Levison, M.E.; Levison, J.H. Pharmacokinetics and Pharmacodynamics of Antibacterial agents. Infect Dis Clin North Am. 2009 23:791–vii.
- FDA. Cubicin (Daptomycin) (Prescribing Information). Silver Spring, MD: FDA. www.accessdata.fda.gov (accessed Aug 14, 2025).
About the author
Akanksha Prasad, MS, is a chemical and bioprocess engineer with over nine years of experience in chemical, biologics, and pharmaceutical process development. Her expertise spans mRNA, vaccines, and biologics, with a focus on technology transfer, PAT, scale-up, purification, and regulatory compliance. She holds a Master’s in Chemical Engineering with a biopharma specialization from the Illinois Institute of Technology, Chicago, and a Bachelor’s in Chemical Engineering from India.
Article details
Pharmaceutical Technology®
Vol. 49, No. 8
October 2025
Pages: 21–27
Citation
Prasad, A. Mechanistic Modeling of Renal Clearance: Optimizing Dosing Strategies for Elderly Patients. Pharmaceutical Technology 2025 49 (8).
